

海洋哺乳動物研究團隊研究進展
文章來源:海洋哺乳動物與海洋生物聲學研究室 | 發布時間:2020-07-02 | 【打印】 【關閉】
近期,李松海研究團隊分別在Aquatic Conservation: Marine and Freshwater Ecosystems, Frontiers in Marine Science, Journal of the Acoutical Society of America, Marine Biology, Aquatic Mammals等國際專業期刊發表了7篇SCI收錄的研究論文,涉及海洋哺乳動物繁殖生理學、生態學、行為學、保護生物學和生物聲學等學科領域,不僅揭示了基礎性的科學問題,同時也為中華白海豚、斑海豹等珍稀瀕危動物的有效保護提供了科學基礎。詳細研究成果如下:
1.2019年12月26日,期刊Aquatic Conservation: Marine and Freshwater Ecosystems在線發表了題為“Determining spatial use of the world's second largest humpback dolphin population: Implications for place‐based conservation and management”的文章。研究團隊就湛江中華白海豚的棲息地空間利用模式進行了調查。結果表明,湛江中華白海豚種群的棲息地利用已呈現出碎片化現狀,并且現有的保護區僅覆蓋了三個主要棲息地之一的小部分區域(圖1),難以滿足該世界第二大駝海豚種群的保護需要。此結果為該海域中華白海豚自然保護區的規劃提供了科學支撐。


圖1 (左)中華白海豚重要棲息地(右)根據調查數據建議的中華白海豚三種保護區設置
2.2020年1月23日,期刊Aquatic Conservation: Marine and Freshwater Ecosystems在線發表了題為“Food risk trade-off in the Indo-Pacific humpback dolphin: An exploratory case study”的文章。研究團隊選擇湛江港入海口(圖2左)對“擁有較豐富的魚類資源是中華白海豚選擇河口作為棲息地的原因”假說進行驗證。研究表明,中華白海豚選擇高風險的河口作為棲息地是迫于獲取食物的壓力。因此,近海過度捕撈引起的漁業資源衰退,可能會誘使它們更多地采用冒險捕食行為,從而導致更高的死亡率(圖2右)。


圖2(左)湛江港的中華白海豚目擊位點和采樣地點地圖(右)湛江港入海口魚類資源、風險水平和中華白海豚分布關系圖
3.2020年3月3日,期刊Marine Biology在線發表了題為“Investigating the age composition of Indo?Pacific humpback dolphins in the Pearl River Estuary based on their pigmentation pattern”的文章。研究團隊分析了珠江口中華白海豚種群體色變化規律和性別差異,并推斷活體的個體年齡和種群年齡結構。結果顯示,體色與年齡有顯著的相關性,且雌性個體褪色速度要高于雄性(圖3左);泛珠江口海域白海豚的年齡組成存在顯著區域差異(圖3右);伶仃洋海域現存的老齡化結構更可能造成群體補充速率減緩而加速種群衰退。


圖3 (左)珠江口印太駝海豚的體色變化規律(右)2011 - 2015年五個子研究區印太駝海豚年齡組成的空間差異
4.2020年4月28日,期刊Frontiers in Marine Science在線發表了題為“Monitoring of a nearshore small dolphin species using passive acoustic platforms and supervised machine learning techniques”的文章。研究團隊探討了水下聲學平臺陣列(圖4左)所記錄的聲學數據是否可以用于中華白海豚回聲定位信號的識別,進一步研究了該種群的時空分布模式和聲學行為。研究表明利用被動聲學平臺陣列獲取的聲學數據,采用機器學習技術和聲譜圖檢查結合的方法,可以在大時空尺度上監測沿海棲息的海豚物種的分布和棲息地使用情況(圖4右),為進一步監測和研究近海鯨類動物提供了新思路。


圖4 (左)被動聲學監測位點和平臺(右)被動聲學監測位點中每個文件檢測到的回聲定位信號次數和位點之間的差異
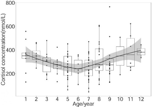
5.2020年5月11日,期刊Aquatic Mammals在線發表了題為“Aging and Seasonal Serum Cortisol Concentrations in Captive Spotted Seals (Phoca largha) from the Liaodong Bay Colony”的文章。研究團隊對遼東灣人工養殖斑海豹皮質醇濃度積聚規律進行了分析并探討其在生殖周期中生理狀態的變化。研究表明,斑海豹皮質醇水平隨年齡的增長緩慢降低并以6歲作為轉折點后緩慢升高(圖5 左);在性成熟和非性成熟期間,不同性別間皮質醇濃度并無顯著差異,但在不同季節皮質醇濃度存在顯著差異(圖5 右)。本研究為判斷野生斑海豹健康狀況建立了一個參考標準,同時可以用作評估其受自然或人為脅迫的壓力響應。


圖5 斑海豹不同年齡(左)及不同季節(右)血清皮質醇濃度積聚規律分析結果
6.2020年5月11日,期刊Aquatic Mammals在線發表了題為“Group sizes of Indo-Pacific humpback dolphins in waters southwest of Hainan Island, China: Insights into rare records of large groups”的文章。研究團隊對海南島西南近岸水域(圖6左)中華白海豚的集群特征進行了調查。結果表明,海南中華白海豚種群平均集群規模比世界上許多已調查的駝海豚種群的集群規模都大,并且更偏向于集大群;相比于照相識別估計的集群規模,現場計數低估了海南中華白海豚集群規模,平均低估了25%左右(圖6右)。


圖6 (左)研究范圍地圖(右)現場計數和照相識別的集群大小的直方圖分布
7.2020年6月12日,期刊The Journal of the Acoustical Society of America 在線發表了題為“Influence of acoustic habitat variation on Indo-Pacific humpback dolphin (Sousa chinensis) in shallow waters of Hainan Island, China”的文章。研究團隊對被動聲學監測點的中華白海豚聲吶信號以及其它不同聲源信號進行了檢測(圖7左)。研究表明食物的利用是中華白海豚生境選擇的重要因素;對中華白海豚的聲音類別進行記錄和識別可以了解特定棲息地環境下動物的不同聲行為(圖7右)。本研究為海洋聲學環境對該珍稀瀕危動物的影響評估提供了基本指標。


圖7 (左)被動聲學監測位點和平臺(右)中華白海豚聲信號、魚聲和人為噪聲之間文件百分比和特定頻帶的聲壓級水平
[1] Mingming Liu, Lars Bejder, Mingli Lin, Peijun Zhang, Lijun Dong, Songhai Li. Determining spatial use of the world's second largest humpback dolphin population: Implications for place-based conservation and management[J]. Aquatic Conserv: Mar Freshw Ecosyst. 2020;30:364–374. https://doi.org/10.1002/aqc.3253
[2] Mingli Lin, Francesco Caruso, Mingming Liu, Sovan Lek, Kuan Li, Rodolphe E. Gozlan, Songhai Li. Food risk trade-off in the Indo-Pacific humpback dolphin: An exploratory case study[J]. Aquatic Conserv: Mar Freshw Ecosyst. 2020;1–8. https://doi.org/10.1002/aqc.3280
[3] Lang Guo, Wenzhi Lin, Chen Zeng, Dingyu Luo, Yuping Wu. Investigating the age composition of Indo?Pacific humpback dolphins in the Pearl River Estuary based on their pigmentation pattern[J]. Marine Biology(2020)167:50. https://doi.org/10.1007/s00227-020-3650-x
[4] Francesco Caruso, Lijun Dong, Mingli Lin, Mingming Liu, Zining Gong, Wanxue Xu, Giuseppe Alonge and Songhai Li. (2020). Monitoring of a Nearshore Small Dolphin Species Using Passive Acoustic Platforms and Supervised Machine Learning Techniques[J]. Front. Mar. Sci. 7:267. https://doi.org/10.3389/fmars.2020.00267
[5] Peijun Zhang, Zhengzhi Wei, Xinran Song, Qinguo Wang, Jiabo Han, Songhai Li. Aging and Seasonal Serum Cortisol Concentrations in Captive Spotted Seals (Phoca largha) from the Liaodong Bay Colony[J]. Aquatic Mammal, 2020, 46(3). https://doi.org/10.1578/AM.46.3.2020.266
[6] Mingming Liu, Mingli Lin, Lijun Dong, Tianfei Xue, Peijun Zhang, Xiaoming Tang and Songhai Li. Group sizes of Indo-Pacific humpback dolphins in waters southwest of Hainan Island, China: Insights into rare records of large groups[J]. Aquatic Mammals, 2020, 46(3), 259-265. https://doi.org/10.1578/AM.46.3.2020.259
[7] Francesco Caruso, Lijun Dong, Mingli Lin, Mingming Liu, Wanxue Xu, and Songhai Li. Influence of acoustic habitat variation on Indo-Pacific humpback dolphin (Sousa chinensis) in shallow waters of Hainan Island, China[J]. The Journal of the Acoustical Society of America 147, 3871 (2020). https://doi.org/10.1121/10.0001384

Copyright © 中國科學院深海科學與工程研究所 備案證號:瓊ICP備13001552號-1
瓊公網安備 46020102000014號
地址: 三亞市鹿回頭路28號 郵編:572000 網站維護:深海所辦公室 郵箱:office@idsse.ac.cn